2025考研数学(三)真题—解答题

2024/12/25 10:38:20 来源: 网络
分享:

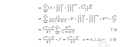
  在2025考研初试数学考试结束后,知道大家都在关注2025年考研真题及解析,海天考研网为各位考生带来2025考研数学三真题及解析汇总,包括考研数学三解答题部分,助力各位考生备考。

微信图片_20241220105344.jpg

  以上就是海天考研网为各位考生整理的2025考研数学(三)真题—解答题,仅限参考。持续为考研学子更新其他考研科目考研真题及答案解析,各位考生可以根据自身需要关注收藏,及时查看完整版2025考研真题及答案解析。

中间广告图.jpg

活动专题